当前位置:首页 >> 备考 >> 数学 >> 数学经验

考研高等数学冲刺备考重要知识点:浅析利用极坐标计算二重积分

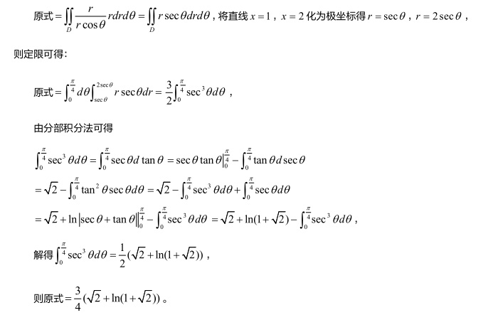
每年的考研数学中二重积分可以说的重中之重,对于数学二和数学三的同学来说必然会出现大题,而对于数学一来说是解决三重积分的基础,而利用极坐标来计算二重积分是考试的重点以及难点。下面我们简单介绍一下极坐标的计算和应用。



免责声明:本平台部分帖子来源于网络整理,不对事件的真实性负责,具体考研相关内容请以各院校的官网通知为准。 如果本站文章侵犯到您的权利,请联系我们进行删帖处理。

研圣考研热门课

友情链接: